专题论坛
脑卒中相关ELISA指标怎么选
通过关键词搜索,我们发现在2000-2020的20年间,PubMed内脑卒中(Stroke)相关文献的年收录率保持持续升高的状态(2000年6259篇→2020年31002篇)。
作为能满足监测脑卒中发生发展过程中重点标志物或高关联度指标在血清血浆、脑组织或脑脊液样本中变化的工具,ELISA试剂盒的应用十分广泛,本文将重点介绍在脑卒中这一大类脑疾病研究中常见的ELISA指标。
脑卒中及相关的ELISA指标
大脑需要从血液中获取氧气,若大脑血液供应中断,脑细胞则会缺氧,随之而来的各种临床症状就叫卒中。
脑卒中公认的主要病因是由于血栓引起大动脉堵塞,所以此过程中的内皮细胞、黏附分子、凝血纤溶系统、炎症因子和脑部特征性蛋白的ELISA检测应用最广。脑卒中相关的ELISA指标如下:
|
分类 |
指标 |
功能 |
|
炎症及 细胞因子 |
TNF-α IL-6 |
缺血刺激后,脑细胞会产生多种细胞因子参与脑卒中的各个方面,特别是引起促炎和促凝集效应,即伴随TNF-α,IL-6浓度的升高 |
|
CRP |
C反应蛋白可与脂蛋白结合激活补体系统,产生终末攻击性复合物并造成血管内膜受损;亦可促进单核细胞释放组织因子并参与脑卒中的病理生理过程。血清的高CRP与脑血管疾病的高发率、严重程度和恶行预后密切相关 |
|
|
凝血及 纤溶系统 |
D-D |
D-D来源于纤溶酶溶解的交联纤维蛋白凝块,是体内血栓形成的指示因子。多项研究发现,缺血性脑血管患者的血浆D-D明显升高,提示D-D对缺血性脑卒中的诊断、治疗效果、预后评估有重要的临床预测作用 |
|
PAI-1 t-PA |
纤溶系统指标,与卒中诊断高度相关 |
|
|
SELP |
血小板活化的标志,为活化血小板或内皮细胞与白细胞相互作用的主要桥梁,在血栓形成中起重要作用 |
|
|
神经系统 |
GFAP |
一种主要位于中枢神经系统中的脑特异性星形细胞中间丝蛋白,许多临床研究发现血清GFAP能作为脑卒中和外伤性脑损伤(TBI)的诊断和预后工具 |
|
UCH-L1 |
UCH-L1是一种神经元的细胞质去泛素化酶,它与突触可塑性和内环境平衡以及大脑损伤后的自我修复机制有关。许多实验和临床研究表明,脑卒中和TBI患者的脑脊液(CSF)和血液中UCH-L1水平升高。此外,还观察到与疾病严重程度和预后显著相关 |
|
|
S100B |
脑胶质细胞特异性蛋白。脑损伤情况下,能刺激脑小胶质细胞产生大量致炎因子和NO,导致神经元功能障碍。研究表明,S100B是缺血性、出血性中风以及创伤性脑损伤中非常重要的生物标志物,同时对预后评估有重要作用 |
|
|
NSE |
神经元特异性蛋白。可作为脑内神经元损伤和坏死的客观特异性指标。研究表明,脑卒中患者血清NSE浓度高于正常人 |
|
|
MBP |
少突胶质细胞髓鞘特异性蛋白。是CNS损伤和急性脱髓鞘的客观生化指标。测定脑卒中患者血清MBP变化可以反映脑实质损害与BCB破坏的程度,结合影像学结果对判断脑卒中的病情和预后有较好的临床价值 |
|
|
Hcy |
高Hcy血症是造成动脉粥样硬化的独立危险因素,在心脑血管疾病的发病机制中起重要作用 |
|
|
内皮因子 |
ET-1 |
对于维持循环稳态起着重要调节作用,但是在缺血、缺氧或应激条件下,过高浓度的ET-1作用于病灶区,会引起脑血管的强烈收缩而导致继发性缺血性损害,加重神经功能损伤。有研究表明脑卒中患者血浆ET-1含量会明显升高 |
|
ICAM-1 VCAM-1 |
免疫球蛋白基因超家族的主要成员,参与白细胞与血管内皮细胞的黏附与迁移,反映血管内皮存在炎症性活化 |
|
|
其他 |
MMPs |
MMPs能维持细胞外基质的动态平衡并于脑卒中时血脑屏障破坏、脑水肿形成、炎症细胞从血管溢出到组织坏死的全过程密切相关 |
|
VIM |
VIM参与了广泛的细胞功能,包括分化、粘附、迁移、信号转导和细胞凋亡。有研究发现了VIM与卒中的发生率呈正相关,尤其是在有颈动脉斑块的个体中 |
|
|
oxLDL |
oxLDL是导致血清损伤的重要起始因子。研究表明,脑卒中患者oxLDL浓度明显升高,提示可作为缺血性脑卒中发生、发展和治疗阶段的重要检测因子 |
|
|
Lp-PLA2 |
介导oxLDL产生促炎效果的关键性酶,在动脉粥样硬化及脑卒中形成等方面发挥重要作用 |
除了以上指标外,近几年,国内外各个科研团队也在研究脑卒中合并其他疾病和新的生物标志物的筛查。
Babak Navi1 团队在Annals of Neurology上发表了一篇题为“Mechanisms of Ischemic Stroke in Patients with Cancer: A Prospective Study”的文章,并重点探讨了缺血性脑卒中合并癌症的病理生理学特点。
结果发现,患有活动性癌症和急性缺血性卒中患者具有更高的凝血、血小板和内皮细胞活化标记物,以及更多的循环微栓子,这暗示高凝和栓塞过程在实体瘤癌症患者缺血性卒中的发病机制中起作用。
Fig. Box-and-whisker plots comparing hematological biomarker values between the cancer-plus-stroke and stroke-only groups. CS = cancer-plus-stroke; SO = stroke-only.
苏州大学的Pinni Yang2 团队今年3月在Stroke杂志上发表了“Increased Serum Complement C3 Levels Are Associated With Adverse Clinical Outcomes After Ischemic Stroke”的文章,他们对来自26家医院的3474名缺血性脑卒中患者的血清补体C3水平进行了测定,并得出血清补体C3与原发结局(卒中发病后3个月死亡和主要残疾)风险之间呈线性关系的结论,提示血清补体C3或可成为有价值的生物标志物,以预测缺血性卒中。
Fig. Association of serum complement C3 at baseline with 3-mo adverse outcomes among patients with ischemic stroke. A, Death or major disability; B, major disability; and C, death.
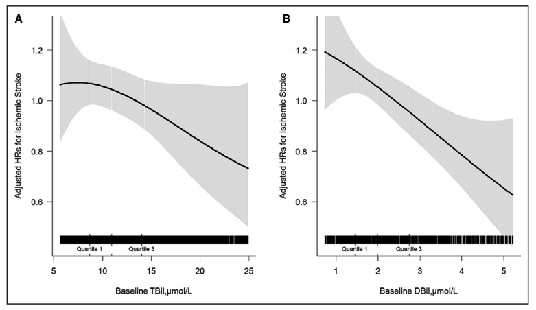
Jiancheng Wang3 团队在CSPPT(纳入19906例高血压患者,608人发生脑卒)事后分析表明,高血压患者中,血清总胆红素或直接胆红素与首次缺血性脑卒中风险负相关。如果本项研究在今后得到进一步证实,那么常规检测胆红素或有助于在高血压患者中确定缺血性脑卒中高危患者。
Fig. Relationship of total bilirubin (TBiL) (A) and direct bilirubin (DBiL)(B) levels with first ischemic stroke in hypertensive patients. HR indicates hazard ratio.
Yang Liu4 团队对2694例患者同时进行了血清NT-proBNP和galectin-3的测量,在调整潜在混杂因素后,得到 NT-proBNP和Galectin-3联合使用可准确预测缺血性卒中的预后的结论。
Fig. Distribution of modified rankin scale (mRS) score at 1 years according to NT-proBNP and galectin-3 in ischemic stroke patients
Daoxia Guo5 团队在4785例缺血性脑卒中患者中测定基线时血浆S100A8/A9浓度,分别进行IIPAIS和CATIS研究,结果表明,基线时高血浆S100A8/A9浓度与缺血性脑卒中后3个月不良临床结局风险的增加独立相关,提示S100A8/A9可能作为缺血性脑卒中的预后标志物。
Fig. Plasma S100A8/A9 and 3-month mRS score. Adjusted odds ratios of ordinal logistic regression analysis for highest vs lowest quartile of plasma S100A8/A9 are 2.00 in IIPAIS and 1.56 in CATIS. (A), IIPAIS study; (B), CATIS study.
2021年“世界卒中日”的宣传主题是“警惕卒中症状,尽早识别救治”,脑卒中这类有着年轻化趋势的疾病希望能获得更多人,包括年轻人们的重视。
也希望在不久的将来,一直没有停下脚步的科研工作者能获得更有效的预防、筛查和治疗脑卒中的手段!
参考文献:
1. Navi B B , Sherman C P , Genova R , et al. Mechanisms of Ischemic Stroke in Patients with Cancer: A Prospective Study[J]. Annals of Neurology.
2. Yang P , Zhu Z , Zang Y , et al. Increased Serum Complement C3 Levels Are Associated With Adverse Clinical Outcomes After Ischemic Stroke[J]. Stroke, 2021, 52(3).
3. Wang J , Zhang X , Zhang Z , et al. Baseline Serum Bilirubin and Risk of First Stroke in Hypertensive Patients[J]. Journal of the American Heart Association, 2020, 9(12).
4. Liu Y , Guo D , Wang A , et al. Combined effect of serum N-terminal pro-brain natriuretic peptide and galectin-3 on prognosis 1 year after ischemic stroke[J]. Clinica Chimica Acta; International Journal of Clinical Chemistry, 2020, 511(9913).
5. Guo D , Zhu Z , Xu T , et al. Plasma S100A8/A9 Concentrations and Clinical Outcomes of Ischemic Stroke in 2 Independent Multicenter Cohorts[J]. Clinical Chemistry, 2020, 66(5).
上一个: 铜死亡:最新发现的细胞死亡方式!
